





















山东2025高考一分一段表660分以上1965人,630分以上13205。
2025年天津市普通本科录取控制分数线为476分,本科线上47173人。620人以上8532人。
广东2025高考物理类类一分一段表600人以上26988人,650分以上3792人。
广东2025高考历史类600分以上的5259人。
天津600分以上12596人
湖南2025年高考历史类一分一段表53081人超本科线,600分以上2369人。特招线503,特招线上人数25780。
湖南2025年高考物理类一分一段表公布,211431人超本科线!690分以上53人。600分以上15860人。
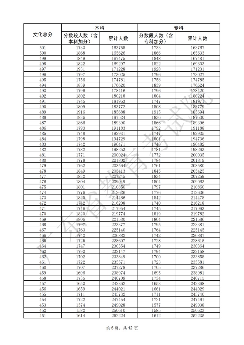
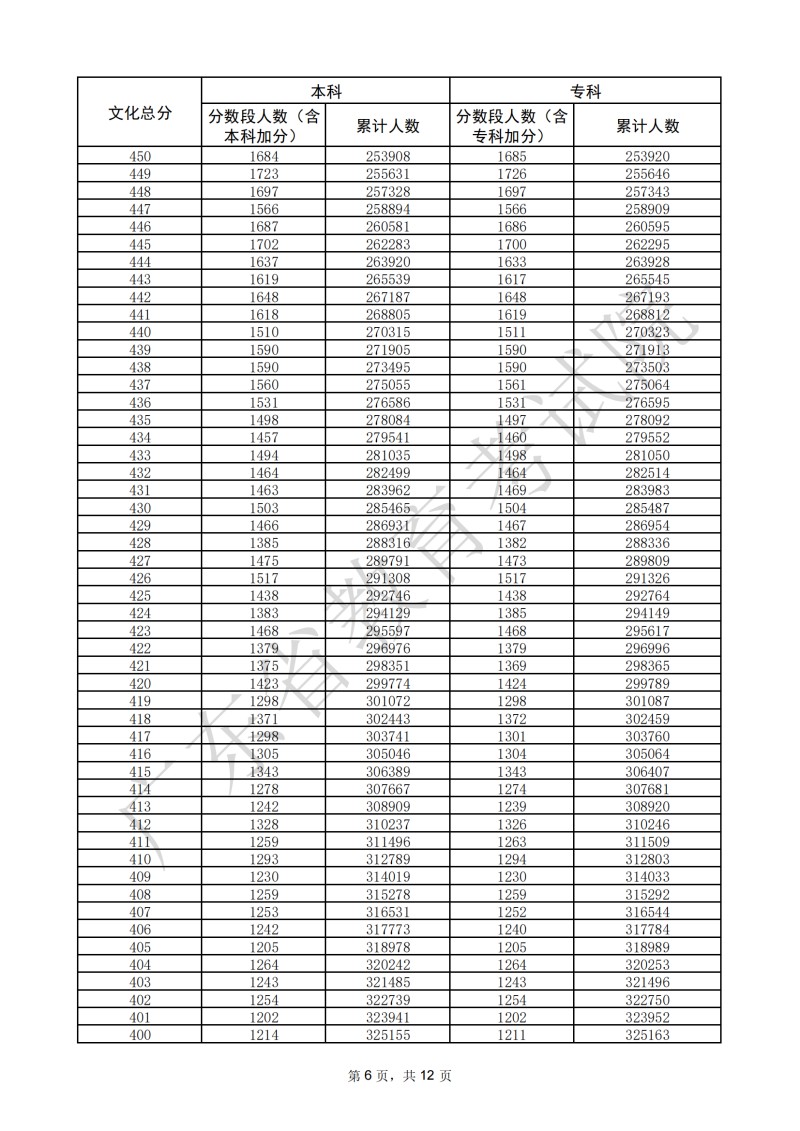
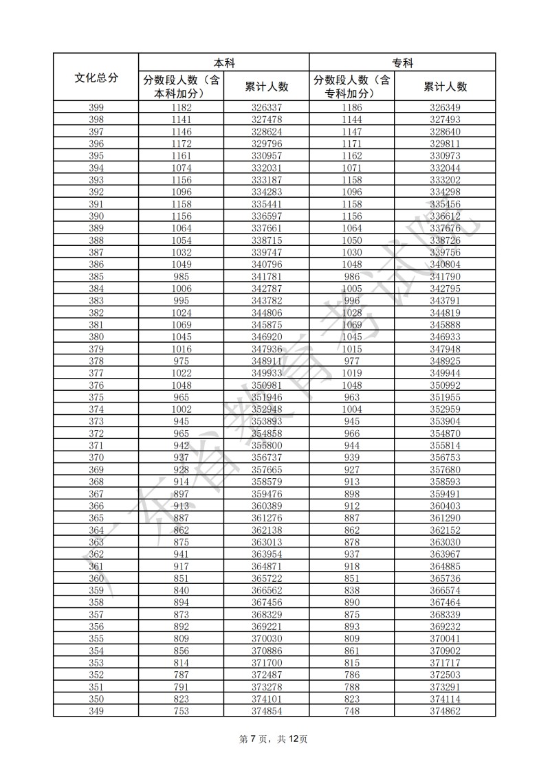
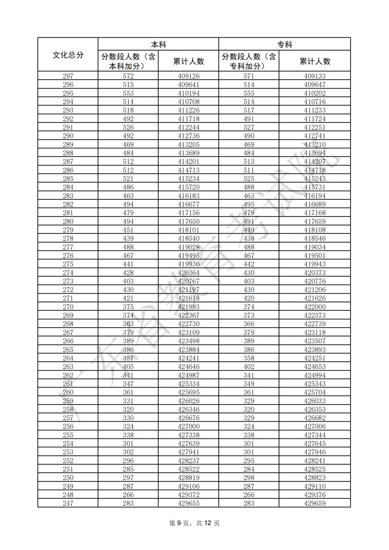
河南2025年高考历史类一分一段表历史本科批471分,90174名考生上线。
河南2025年高考历史类一分一段表公布,物理类本科批427分,348358名考生上线。600分以上45887人,特控线535分,特控线以上143976人。
天津市2025高考舞蹈类一分一段表:500分以上77人