
1、河北旅游职业学院2023-2024历年录取最低分和人数

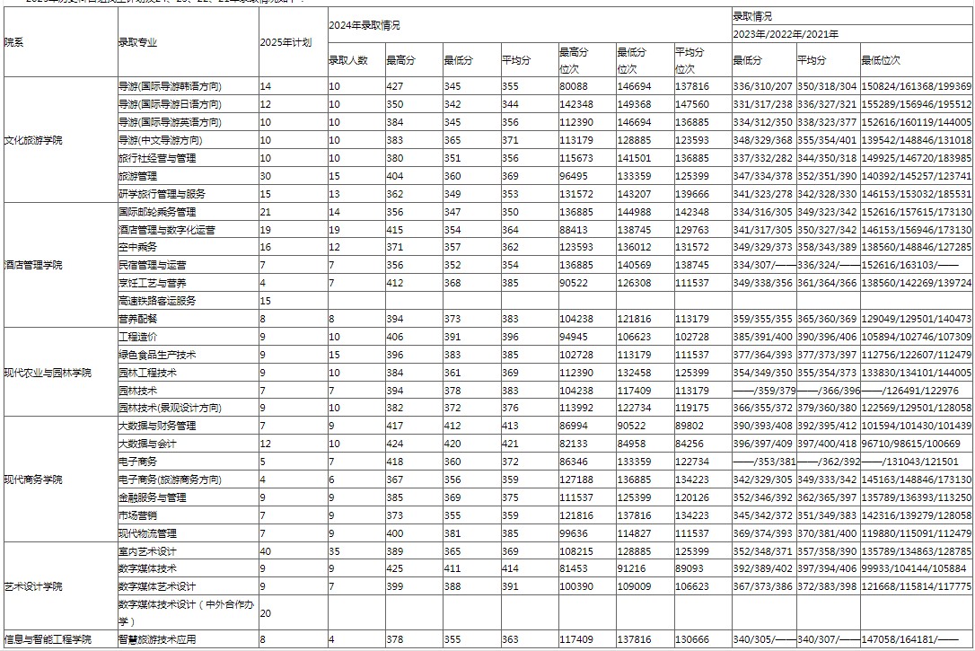
2、河北旅游职业学院2023-2024历年高考专业最低分和录取人数、位次排名


39所985大学有工科强校,有综合实力强的院校。同学们在高考志愿填报和强基计划填报的时候需要了解大学的优势。本文分析985大学优势和是否值得为了上985报考这些院校强基计划。
老高考新高考怎么根据位次找学校、找专业,中分段考生是要保专业还是保院校。本文根据张雪峰老师直播整理了六个报考志愿的几个技巧分享给2026届高考生。
2026年陕西考生报考西安电子科技大学中外合作预计分数在600分以上,位次在1万名左右比较稳妥。根据近三年的中外合作办学录取位次在9千-1.1万之间,比较稳定没有比较大的浮动。本文是根据西安电子科技大学官网整理的中外合作办学近三年分数线和位次供2026考生报考。
西安电子科技大学2026年高考在陕西普通批的分数线预计620分以上。近三年的录取数据:西安电子科技大学2025年高考在陕西历史类最低591分,位次2743。物理类最低626分,位次5702。可以看出西安电子科技大学最近几年年录取分数线和位次比较稳定。本文根据西安电子科技大学官网整理了在陕西近三年的分数线和位次供同学们参考。
中国民航飞行学院本科提前批国航、东航、南航及本校自招。本校自招分数线稍低与国航东航南航等送培招生。安徽省录取25人,其中飞行技术办校自找最低497,最低分位次139469。东航送培招生15人,最低561分。位次58985。本文是根据官网整理的本科提前批各省分数线供2026届考生参考。